統計学「相関係数」

Step:03[2変数以上データ]

– (マイナス)なら負・+(プラス)なら正

こんにちは、徳です。

デジタルDIYができるようコーディング・プログラミング・画像加工・動画編集などを本やYouTubeで勉強しています。

現在は、初心者なので、とにかくゆっくり進んでいくと思います。

また、「間違っていること」や「こうした方が良いよ」などがあれば、コメントなどしていただけたら幸いです。

では、いきましょう!

統計学

今回は、

相関係数

について勉強していこうと思います。


相関係数

相関係数とは二つのデータの相関を数値化したもの

相関係数とは、

2つのデータ項目の相関関係を数値化したもの

です。

用途は「相関関係を数値で説明する時に使用」

データや散布図を見て、

Aくん
Aくん

これは正の相関だなぁ。

と考えることができます。

しかし、なぜそうなるのかを上司に聞かれた場合、

散布図を見てそう思った

では理由が弱いですよね。

徳

もっとはっきり言える数値が欲しいですよね。

その時にはっきり言える数値が、

相関係数

です。

つまり、相関係数は

相関関係を数値で説明する時に使用

します。

散布図で視覚化・相関係数で数値化

と考えましょう。

偏差平方和・共分散との違い

相関を数値化できる値として、

偏差積和・共分散

もあります。

徳

この二つも値で相関の向きがわかります。

しかし、相関関係を数値化する場合、基本は相関係数を使います

なぜなら、偏差積和・共分散は

相関の向きはわかるが、大きさはわからない

からです。

徳

二つとも、単位がついたままのため、

その単位によって大きさは変わってしまいます。

例えば

身長 (cm または m)と体重 (g または kg)

cmとg

正の相関

cmとkg

正の相関

mとkg

正の相関

徳

このように単位を変えるだけで大きさは変化してしまいます。

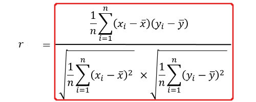
求め方

公式

相関指数の公式は、

です。

徳

そのまま見てもよくわからないですね。

実際には、分子は共分散分母はxとyの標準偏差です。

つまり、

となります。

共分散

共分散の公式は、

です。

標準偏差

標準偏差の公式は、

です。

割る
徳

これで相関係数が求められます。

使い方

相関係数の使い方は主に、

二つのデータの相関の向き強さ

を見つけることです。

向きは+か-か

相関係数は、

-1 ≦ r ≦ 1

の範囲になります。

-1 ≦ r < 0

負の相関

r = 0

無相関

0 < r ≦ 1

正の相関

つまり、

+0 かで相関の向きがわかる

のです。

強さは数値の大きさ

強さは

数値の大きさでわかる

のです。

0に近い

相関が弱い

1や-1に近い

相関が強い

となります。

例えば

r = -0.732なら、

向き

-のため:負の相関

強さ

0.732のため:強い相関

よって、

強いの相関の傾向がある

と言えます。

身長と体重の関係

身長と体重の関係を例として共分散を求めてみましょう。

1、共分散を求める

1.1、2項目の平均を求める

平均は、合計 / データ数です。

身長の平均

(180+172+184+162+159+180+174

+175+162+180) / 10 = 172.8

体重の平均

(75+61+77+55+58+78+65

+70+64+74) / 10 = 67.7

1.2、2項目の偏差を求める

偏差は、データ – 平均です。

身長の偏差

180 – 172.8 = 7.2

172 – 172.8 = -0.8

184 – 172.8 = 11.8

162 – 172.8 = -10.8

159 – 172.8 = -13.8

180 – 172.8 = 8.2

174 – 172.8 = 1.8

175 – 172.8 = 2.2

162 – 172.8 = -10.8

180 – 172.8 = 7.2

体重の偏差

75 – 67.7 = 7.3

61 – 67.7 = -6.7

77 – 67.7 = 9.3

55 – 67.7 = -12.7

58 – 67.7 = -9.7

78 – 67.7 = 10.3

65 – 67.7 = -2.7

70 – 67.7 = 2.3

64 – 67.7 = -3.7

74 – 67.7 = 6.3

1.3、項目づつの偏差積を求める

お互いの項目を掛けます。

7.2 × 7.3 = 52.56

-0.8 × -6.7 = 5.36

11.8 × 9.3 = 109.74

-10.8 × -12.7 = 137.16

-13.8 × -9.7 = 133.86

8.2 × 10.3 = 84.46

1.8 × -2.7 = -4.86

2.2 × 2.3 = 5.06

-10.8 × -3.7 = 39.96

7.2 × 6.3 = 45.36

1.4、全ての偏差積の和を求める

和のため、全てを足します。

52.56 + 5.36 + 109.74 + 137.16 + 133.86 + 84.46 + (-4.86) + 5.06 + 39.96 + 45.36 = 608.66

徳

これで偏差積和が求められました。

正の数のため、この二つは正の相関になると考えられます。

1.5、データ数を数える

データの数は、10です。

徳

こちらはそのまま数を数えましょう。

1.6、偏差積和をデータ数で割る

先ほど求めた偏差積和をデータ数で割ましょう。

608.66 ÷ 10 = 60.866

徳

これで共分散が求められました。

2、それぞれの標準偏差を求める

2.1、それぞれの「平均値」を求める

(180+172+184+162+159+180

+174+175+162+180)/10 = 172.8

(75+61+77+55+58

+78+65+70+64+74)/10 = 67.7

徳

こちらは、1.1でも求めましたね。

2.2、それぞれの「偏差」を求める

偏差は、

各データの平均との

です。

身長の偏差

180 – 172.8 = 7.2

172 – 172.8 = -0.8

184 – 172.8 = 11.2

162 – 172.8 = -10.8

159 – 172.8 = -13.8

180 – 172.8 = 7.2

174 – 172.8 = 1.2

175 – 172.8 = 2.2

162 – 172.8 = -10.8

180 – 172.8 = 7.2

体重の偏差

75 – 67.7 = 7.3

61 – 67.7 = -6.7

77 – 67.7 = 9.3

55 – 67.7 = -12.7

58 – 67.7 = -9.7

78 – 67.7 = 10.3

65 – 67.7 = -2.7

70 – 67.7 = 2.3

64 – 67.7 = -3.7

74 – 67.7 = 6.3

徳

こちらも1.2で求めましたね。

2.3、それぞれの「偏差平方和」を求める

偏差平方和は、

各偏差の2乗の合計

です。

(7.2)2+(-0.8)2+(11.2)2+(-10.8)2+(-13.8)2

+(7.2)2+(1.2)2+(2.2)2+(-10.8)2+(7.2)2

=711.6

(7.3)2+(-6.7)2+(9.3)2+(-12.7)2+(-9.7)2

+(10.3)2+(-2.7)2+(2.3)2+(-3.7)2+(6.3)2

=612.1

2.4、それぞれの「分散」を求める

分散は、

偏差平方和 / データの数

です。

711.6 / 10 = 71.16

612.1 / 10 = 61.21

2.5、それぞれの「標準偏差」を求める

標準偏差は、

√分散

です。

√71.16 ≒ 8.44

√61.21 ≒ 7.82

3、二つの標準偏差をかける

8.44 × 7.82 = 66.0008

4、共分散を標準偏差の積で割る

60.866 / 66.0008 ≒ 0.9222

徳

これで相関係数が求められました。

まとめ

今回は、「相関係数」について紹介させていただきました。

相関係数とは、

2つのデータ項目の相関関係を数値化したもの

です。

主に、

二つのデータ項目の相関の方向と強さを求める

ときに使用します。

徳

偏差積和 → 共分散 → 相関係数

という順番に求めていきます。

この値により、

二つのデータの関係性これからのデータの推測

ができるようになります。

最後まで読んでいただき、ありがとうございました。

コメント

タイトルとURLをコピーしました